| Delayed Fluorescence as a Screening Tool |
| site map | about the author |
|
A fast and reliable method to measure the activity of photosynthetic herbicides in intact plants |
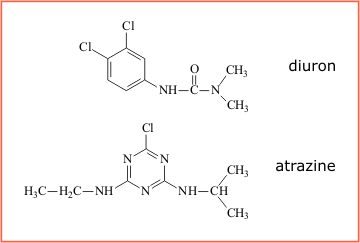
Photosynthetic HerbicidesFig. 8. Chemical structure
Chemical structures of the herbicides diuron (3-(3,4-dichlorophenyl)-1,1-dimethylurea) and atrazine (2-ethylamino-4-chloro-6-isopropylamino-1,3,5-triazine). |
|